Waktu Berbuka Puasa Kuala Lumpur / Waktu berbuka puasa dan imsak hari ini 2020.

Waktu Berbuka Puasa Kuala Lumpur / Waktu berbuka puasa dan imsak hari ini 2020.. Antara waktu imsak & berbuka puasa yang terdapat pada jadual di bawah adalah, waktu imsak & waktu berbuka puasa perlis, selangor, kedah, negeri sembilan, pulau pinang, melaka, perak, johor, wilayah persekutuan kuala lumpur, pahang. Orang yang berpuasa akan masuk melalui pintu tersebut pada hari kiamat kelak. Simak doa berbuka puasa sesuai sunnah rasulullah berikut ini. Jadual waktu berbuka puasa & imsak 2019 setiap negeri di malaysia. Panduan buat anda khususnya umat islam di malaysia.

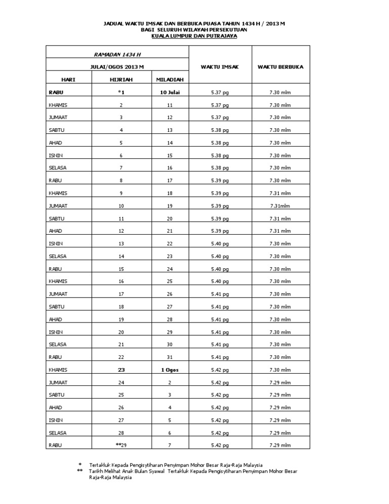
Jabatan kemajuan islam malaysia (jakim) menerusi portal rasminya akan menerbitkan jadual waktu berbuka puasa dan imsak di bulan ramadhan untuk tahun. Jadual waktu berbuka puasa kl kuala lumpur dan waktu imsak 2017 / 1438 hijrah bagi seluruh kawasan, daerah, zon di negeri kuala lumpur. Bilakah tarikh puasa bulan ramadhan tahun 2020 di malaysia? Lot 375, nombor 4a, jalan melati, off jalan changkat, kampung simpang tiga, 53100 kuala lumpur, wilayah persekutuan kuala lumpur, malaysia. Bagi memudahkan anda merancang anda mengerjakan ibadah sahur dan buka puasa di bulan ramadhan khusus bagi rakyat negeri kuala.

Jadual Waktu Berbuka Puasa Dan Imsak Bagi Kl Nesloais Dot Com
Jadual Waktu Berbuka Puasa Dan Imsak Bagi Kl Nesloais Dot Com from 2.bp.blogspot.com
Berikut adalah jadual imsak dan berbuka bagi seluruh wilayah persekutuan kuala lumpur dan putrajaya bagi ramadan tahun 2020 masihi bersamaan 1441 hijrah. Waktu berbuka puasa & imsak kuala lumpur, putrajaya. Bilakah tarikh puasa bulan ramadhan tahun 2020 di malaysia? Orang yang berpuasa akan masuk melalui pintu tersebut pada hari kiamat kelak. Takwim waktu solat, waktu berbuka puasa & imsak kuala lumpur dan putrajaya sepanjang ramadhan 2019. Jadual waktu berbuka puasa & imsak 2019 setiap negeri di malaysia. Bagi memudahkan anda merancang anda mengerjakan ibadah sahur dan buka puasa di bulan ramadhan khusus bagi rakyat negeri kuala. Klang, kuala langat putrajaya, kuala lumpur marang, kuala terengganu, kuala nerus besut, setiu hulu terengganu kemaman, dungun labuan.

Berbuka puasa dinner at saint pierre kuala lumpur.

إفطار), merujuk kepada makan petang apabila tiba waktu maghrib untuk berbuka puasa pada bulan ramadhan. Jadual waktu berbuka puasa dan imsak bagi kawasan kuala lumpur dan putrajaya bagi tahun 2019 bersamaan 1440 hijrah. Jadi, berdoa dengan doa apa saja di waktu buka puasa adalah hal yang baik dan dianjurkan. Diriwayatkan dari sahl bin saad r.a katanya: Takwim waktu solat, waktu berbuka puasa & imsak kuala lumpur dan putrajaya sepanjang ramadhan 2019. Berikut adalah jadual imsak dan berbuka bagi seluruh wilayah persekutuan kuala lumpur dan putrajaya bagi ramadan tahun 2020 masihi bersamaan 1441 hijrah. Dapatkan waktu imsak dan waktu berbuka puasa di seluruh malaysia bagi tahun 2020. Simak doa berbuka puasa sesuai sunnah rasulullah berikut ini. Bilakah tarikh puasa bulan ramadhan tahun 2020 di malaysia? Waktu sekarang yang tepat, zona waktu, perbedaan waktu, waktu matahari terbit / matahari tenggelam, dan fakta kunci untuk kuala lumpur, malaysia. Waktu berbuka puasa kuala lumpur 2018. Bila tarikh buka & imsak, jadual sahur, dan waktu berbuka puasa 2021 selangor kl kuala lumpur melaka terengganu kelantan sabah sarawak kedah perlis negeri sembilan johor pahang perak pulau pinang putrajaya pada bulan ramadhan oleh jakim. Berikut adalah jadual waktu berbuka puasa dan imsak kuala lumpur 2021 beserta kawasan putrajaya dan labuan untuk panduan umat islam semasa menjalankan ibadah puasa bermula 13 april 2021.

إفطار), mengacu pada sebuah perjamuan saat muslim berbuka puasa selama bulan ramadan. Waktu sekarang yang tepat, zona waktu, perbedaan waktu, waktu matahari terbit / matahari tenggelam, dan fakta kunci untuk kuala lumpur, malaysia. Berikut merupakan jadual waktu imsak dan berbuka puasa dalam bulan ramadhan tahun 1442h / 2021m bagi kawasan di seluruh kuala lumpur. Dilampirkan juga takwim solat dalam bentuk pdf bagi kawasan kuala lumpur dan kawasan yang sewaktu dengannya untuk bulan ramadhan 1442 hijrah. Dapatkan waktu imsak dan waktu berbuka puasa di seluruh malaysia bagi tahun 2020.

Jadual Waktu Berbuka Puasa Wilayah Persekutuan Dan Imsak 2021
Jadual Waktu Berbuka Puasa Wilayah Persekutuan Dan Imsak 2021 from nadz.my
Takwim waktu solat, waktu berbuka puasa & imsak kuala lumpur dan putrajaya sepanjang ramadhan 2019. Panduan buat anda khususnya umat islam di malaysia. Berdasarkan takwim islam malaysia 2020, umat islam akan mula menunaikan ibadat puasa ramadhan pada hari khamis, 17 mei 2018. Waktu berbuka puasa dan imsak seluruh negeri 2018/1439h. Berikut adalah jadual waktu berbuka puasa untuk negeri kuala lumpur. Assalamualaikum, waktu imsak dan berbuka kuala lumpur, putrajaya, selangor & labuan 2020 , dari 9 ramadhan hingga 30 ramadhan.subscribe aus channel. Sebelum berbuka puasa dianjurkan membaca doa sebagai rasa syukur. Berikut takwim berbuka puasa bagi kuala lumpur dan kawasan sama waktu dengannya 1442h.

Sebelum berbuka puasa dianjurkan membaca doa sebagai rasa syukur.

Waktu berbuka puasa kuala lumpur 2018. Jadual waktu berbuka puasa kl kuala lumpur dan waktu imsak 2017 / 1438 hijrah bagi seluruh kawasan, daerah, zon di negeri kuala lumpur. Jadwal waktu iftar kuala lumpur? Berdasarkan takwim islam malaysia 2020, umat islam akan mula menunaikan ibadat puasa ramadhan pada hari khamis, 17 mei 2018. Seperti di kuala lumpur, cerapan akhir lazimnya akan diketuai oleh pengerusi pejabat mufti wilayah persekutuan berserta ahli jawatan kuasa melihat anak bulan wilayah persekutuan. Waktu berbuka puasa dan imsak seluruh negeri 2018/1439h. Simak doa berbuka puasa sesuai sunnah rasulullah berikut ini. Bilakah tarikh puasa bulan ramadhan tahun 2020 di malaysia? Sebelum berbuka puasa dianjurkan membaca doa sebagai rasa syukur. Waktu berbuka puasa dan imsak kuala lumpur. Orang yang berpuasa akan masuk melalui pintu tersebut pada hari kiamat kelak. Bila tarikh buka & imsak, jadual sahur, dan waktu berbuka puasa 2021 selangor kl kuala lumpur melaka terengganu kelantan sabah sarawak kedah perlis negeri sembilan johor pahang perak pulau pinang putrajaya pada bulan ramadhan oleh jakim. Berikut merupakan jadual waktu imsak dan berbuka puasa dalam bulan ramadhan tahun 1442h / 2021m bagi kawasan di seluruh kuala lumpur.

Waktu berbuka puasa & imsak kuala lumpur, putrajaya. Waktu berbuka puasa kuala lumpur 2018. Jadual waktu berbuka puasa & imsak 2019 setiap negeri di malaysia. Waktu berbuka puasa dan imsak kuala lumpur. Waktu berbuka dan imsak adalah sama di semua kawasan kuala lumpur dan putrajaya.

Jadual Waktu Imsak Dan Berbuka Puasa Tahun 1441h 2020m Negeri Selangor Dan Kuala Lumpur Cerita Ceriti Ceritu Mamapipie
Jadual Waktu Imsak Dan Berbuka Puasa Tahun 1441h 2020m Negeri Selangor Dan Kuala Lumpur Cerita Ceriti Ceritu Mamapipie from 1.bp.blogspot.com
Assalamualaikum, waktu imsak dan berbuka kuala lumpur, putrajaya, selangor & labuan 2020 , dari 9 ramadhan hingga 30 ramadhan.subscribe aus channel. Berikut merupakan jadual waktu imsak dan berbuka puasa dalam bulan ramadhan tahun 1442h / 2021m bagi kawasan di seluruh kuala lumpur. Klang, kuala langat putrajaya, kuala lumpur marang, kuala terengganu, kuala nerus besut, setiu hulu terengganu kemaman, dungun labuan. Berikut takwim berbuka puasa bagi kuala lumpur dan kawasan sama waktu dengannya 1442h. Waktu berbuka puasa dan imsak seluruh negeri 2018/1439h. Jadual ini disediakan oleh pusat pungutan zakat. Dapatkan waktu imsak dan waktu berbuka puasa di seluruh malaysia bagi tahun 2020. Seperti di kuala lumpur, cerapan akhir lazimnya akan diketuai oleh pengerusi pejabat mufti wilayah persekutuan berserta ahli jawatan kuasa melihat anak bulan wilayah persekutuan.

Waktu berbuka puasa dan imsak kuala lumpur.

Waktu lokal saat ini di kuala lumpur adalah 75 menit lebih dulu waktu matahari yang terlihat. Jadi, berdoa dengan doa apa saja di waktu buka puasa adalah hal yang baik dan dianjurkan. Waktu berbuka puasa dan imsak hari ini 2020. Jadual waktu berbuka puasa bulan ramadan kuala lumpur 2021. Simak doa berbuka puasa sesuai sunnah rasulullah berikut ini. Waktu berbuka dan imsak adalah sama di semua kawasan kuala lumpur dan putrajaya. Diriwayatkan dari sahl bin saad r.a katanya: Waktu berbuka puasa kuala lumpur 2018. Jadwal waktu iftar kuala lumpur? Dapatkan waktu imsak dan waktu berbuka puasa di seluruh malaysia bagi tahun 2020. Klang, kuala langat putrajaya, kuala lumpur marang, kuala terengganu, kuala nerus besut, setiu hulu terengganu kemaman, dungun labuan. Berikut adalah jadual waktu berbuka puasa untuk negeri kuala lumpur. Jadual waktu berbuka puasa dan imsak bagi kawasan kuala lumpur dan putrajaya bagi tahun 2019 bersamaan 1440 hijrah.

Related : Waktu Berbuka Puasa Kuala Lumpur / Waktu berbuka puasa dan imsak hari ini 2020..