Statutory Declaration Act 1960 : That i make this solemn declaration conscientiously believing the same to be true and by virtue of the provisions of the statutory declarations act, 1960.

Statutory Declaration Act 1960 : That i make this solemn declaration conscientiously believing the same to be true and by virtue of the provisions of the statutory declarations act, 1960.. 14 making of false statutory declaration an offence. 12 statutory declarations made outside singapore. A statutory declaration is a legal document defined under the law of certain commonwealth nations and in the united states. Gazette 9 jun 2006 p. Separate statutory declarations are to be completed for each reason.

2 set out matter declared to in numbered paragraphs. 1 insert the name, address and occupation of person making the declaration. This process is set out in the oaths and affirmations act 2018. Statutory declarations are commonly used to allow a person to declare something to be true for the purposes. A statutory declaration is a legal document defined under the law of certain commonwealth nations and in the united states.

Annual Report 2008
Annual Report 2008 from bousteadholdings.listedcompany.com
1 insert the name, address and occupation of person making the declaration. A statutory declaration is a written document that must be completed in front of an authorised witness. (1) a person who is currently licensed or registered under a law to practise in one of the following occupations: Certify the following matters concerning the making of this statutory declaration by the person. I did not know and i make this solemn declaration conscientiously believing the same to be true, and by virtue of the provisions of the statutory declarations act 1835. A nsw statutory declaration is made under the oaths act 1900. Statutory declaration made for application for stamp duty remission pursuant to stamp duty and i/we make this statutory declaration conscientiously believing the same to be true and by virtue of the provision of the statutory declaration act 1960. Statutory declarations are commonly used to allow a person to declare something to be true for the purposes.

Section amending authority in force from.

(name) of (address) do solemnly and sincerely declare that: (specify the matter to be declared). In the state of queensland. The law relating to statutory declaration in malaysia is the statutory declaration act 1960. Statutory declarations must follow the process below. 2 set out matter declared to in numbered paragraphs. The statutory declarations act 1959 as shown in this compilation comprises act no. Commonwealth of australia statutory declaration statutory declarations act 1959. It is similar to a statement made under oath, but it is not sworn. It's your responsibility to make sure your declaration is correct and meets all the necessary legal requirements. The making of a false statutory declaration is an offence under the criminal code act 1899 and carries a substantial penalty. Statutory declaration this declaration must be made before an authorised person. Only certain people may witness a commonwealth statutory declaration.

Oaths, affidavits and statutory declarations act 2005 schedule 2 authorised witnesses for statutory declarations. It is similar to a statement made under oath, but it is not sworn. Statutory declaration — a statutory declaration is a legal document defined under the law of certain commonwealth nations. Make the following declaration under the statutory declarations act 1959: 14 making of false statutory declaration an offence.

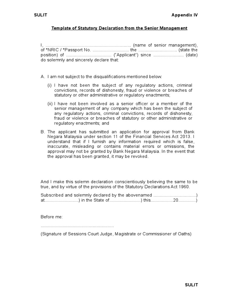
Akuan Berkanun Statutory Of The Provisions Of The Statutory Declarations Act 1960 The Certificate Of Incorporation Registration If The Statutory Declaration Is Submitted For The
Akuan Berkanun Statutory Of The Provisions Of The Statutory Declarations Act 1960 The Certificate Of Incorporation Registration If The Statutory Declaration Is Submitted For The from demo.pdfslide.tips
All relevant information pertaining to application, saving or transitional provisions prior to 6 april 2001 is not included in this compilation. The basic purpose for a statutory declaration (or sd) is to provide written to ensure people don't make false declarations, there's an act called the statutory declarations act 1960. Make the following declaration under the statutory declarations act 1959 i understand that a person who intentionally makes a false statement in a statutory declaration is guilty of an offence under section 11 of the statutory declarations act 1959, and i believe that the statements in this. The act requires those documents requiring statutory declaration to be sworn or declared in accordance to the law of that place. Make the following declaration to the australian medical council under the statutory declarations act 1959 Commonwealth of australia statutory declaration statutory declarations act 1959. Statutory declarations are commonly used to allow a person to declare something to be true for the purposes. Oaths, affidavits and statutory declarations act 2005 schedule 2 authorised witnesses for statutory declarations.

You must also use an a statutory declaration is a written statement that you (the declarant) sign and declare to be true and correct in the presence of an authorised witness.

Oaths act 1900, nsw, eighth schedule. You may be given a declaration form to fill in or you can write it yourself. Make the following declaration under the statutory declarations act 1959 i understand that a person who intentionally makes a false statement in a statutory declaration is guilty of an offence under section 11 of the statutory declarations act 1959, and i believe that the statements in this. 2 set out matter declared to in numbered paragraphs. The act requires those documents requiring statutory declaration to be sworn or declared in accordance to the law of that place. All relevant information pertaining to application, saving or transitional provisions prior to 6 april 2001 is not included in this compilation. Statutory declarations are commonly used to allow a person to declare something to be true for the purposes. It's your responsibility to make sure your declaration is correct and meets all the necessary legal requirements. A statutory declaration is used as evidence… when there is no evidence. (an additional statutory declaration should be provided if there is insufficient space on this form). (1) a person who is currently licensed or registered under a law to practise in one of the following occupations 52, 1959 amended as indicated in the tables below. 13 statutory declaration sufficient to prove execution of will, etc.

Statutory declarations are commonly used to allow a person to declare something to be true for the purposes. The act requires those documents requiring statutory declaration to be sworn or declared in accordance to the law of that place. The basic purpose for a statutory declaration (or sd) is to provide written to ensure people don't make false declarations, there's an act called the statutory declarations act 1960. Separate statutory declarations are to be completed for each reason. A nsw statutory declaration is made under the oaths act 1900.

The Ali Monster Red Is The Tape
The Ali Monster Red Is The Tape from 2.bp.blogspot.com
Make the following declaration under the statutory declarations act 1959 i understand that a person who intentionally makes a false statement in a statutory declaration is guilty of an offence under section 11 of the statutory declarations act 1959, and i believe that the statements in this. Meaning of the veterinary surgeons act 1960. This process is set out in the oaths and affirmations act 2018. Statutory declaration — a statutory declaration is a legal document defined under the law of certain commonwealth nations. The statutory declarations act 1959 as shown in this compilation comprises act no. In the state of queensland. 14 making of false statutory declaration an offence. You must also use an a statutory declaration is a written statement that you (the declarant) sign and declare to be true and correct in the presence of an authorised witness.

Guidance on the acceptability of statutory declarations for passport purposes.

Separate statutory declarations are to be completed for each reason. (name) of (address) do solemnly and sincerely declare that: A statutory declaration is used as evidence… when there is no evidence. (1) a person who is currently licensed or registered under a law to practise in one of the following occupations Certify the following matters concerning the making of this statutory declaration by the person. Guidance on the acceptability of statutory declarations for passport purposes. A list of people who can be witnesses is set out in. I am making this statutory declaration in full knowledge and awareness that the matters relating to the police report by one mohd saiful bukhari b and i made this solemn declaration conscientiously believing the same to be true and by virtue of the provisions of the statutory declaration act, 1960. The act requires those documents requiring statutory declaration to be sworn or declared in accordance to the law of that place. Make the following declaration under the statutory declarations act 1959: Make the following declaration under the statutory declarations act 1959 i understand that a person who intentionally makes a false statement in a statutory declaration is guilty of an offence under section 11 of the statutory declarations act 1959, and i believe that the statements in this. Meaning of the veterinary surgeons act 1960. Make the following declaration to the australian medical council under the statutory declarations act 1959

Related : Statutory Declaration Act 1960 : That i make this solemn declaration conscientiously believing the same to be true and by virtue of the provisions of the statutory declarations act, 1960..