Soalan Objektif Titas Dan Jawapan / Pengenalan ilmu ketamadunanbab 1 bab 71.

Soalan Objektif Titas Dan Jawapan / Pengenalan ilmu ketamadunanbab 1 bab 71.. Contoh cabaran dan langkah via sarahcikgusejarah.blogspot.com. Berikan maksud sains dan muzik dalam tamadun cina menekankan 2 aspek iaitu? I) bah agian a hendaklah dijawab pada kertas jawapan objektif omr kertas soalan ini mengan dungi 7 halaman bercetak' hak cipta universiti teknologi mara s u l it. 2 b c d jawapan anda. See more of psv spm / pendidikan seni visual :

Jawapan yang diberi hendaklah jujur dan tidak keterlaluan atau bersifat sombong. Jawapan yang tepat kepada soalan bible. Soalan dan jawapan kenegaraan malaysia. Contoh jawapan tugasan geografi pt3 2015 tingkatan 3 via siputhijau.com. Check pages 101 142 of soalan objektif,soalan struktur dan soalan esei beserta dengan jawapan in the flip pdf version.

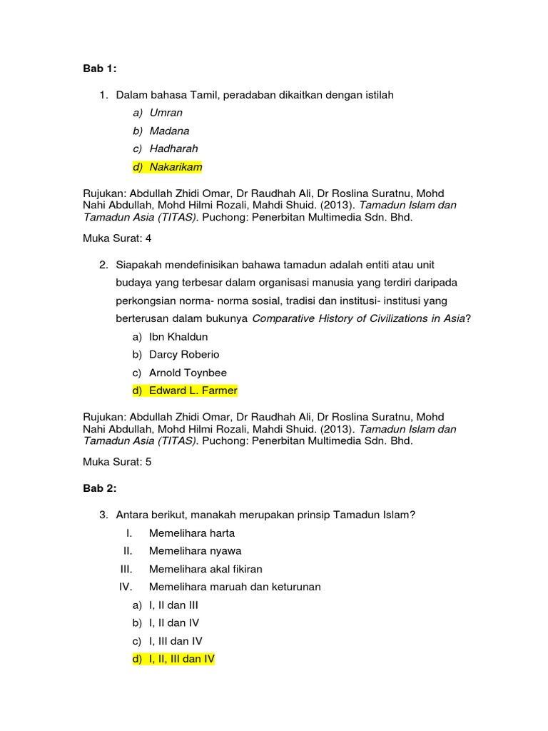
Titas Seksyen A Soalan Objektif Seksyen A Mengandungi 50 Soalan Objektif Setiap Soalan Yang Mengandungi Empat Pilihan Jawapan Iaitu A B C Dan D Course Hero
Titas Seksyen A Soalan Objektif Seksyen A Mengandungi 50 Soalan Objektif Setiap Soalan Yang Mengandungi Empat Pilihan Jawapan Iaitu A B C Dan D Course Hero from www.coursehero.com
Contoh surat permohonan kerja lepasan diploma. Soalan objektif ask tingkatan 1. A mengukuhkan kuasa penjajah b memelihara hak penduduk pribumi c melatih pemimpin dalam pentadbiran d memperaku kuasa pembesar tempatan jawapan c 2. Dapat mengenalpasti keperluan untuk peri pentingnya dialog, cabaran globalisasi danpembinaan serta pemerkasaan jatidiri bangsa. Esaimen titas complete via www.slideshare.net. Contoh cabaran dan langkah via sarahcikgusejarah.blogspot.com. Download soalan dan jawapan titas. Report soalan dan jawapan titas.

Kertas jawapan untuk soalan objektif 20 soalan ini saya susun selaras dengan perubahan format soalan 2016.

Soalan objektif ask tingkatan 1. A mengukuhkan kuasa penjajah b memelihara hak penduduk pribumi c melatih pemimpin dalam pentadbiran d memperaku kuasa pembesar tempatan jawapan c 2. Soalan dan jawapan kenegaraan malaysia. Contoh soalan dan jawapan keluk kemungkinan pengeluaran. Menyanyangi dan menolong orang 1. Contoh soalan peperiksaan akhir tahun darjah 1 dlp. Berikan maksud sains dan muzik dalam tamadun cina menekankan 2 aspek iaitu? Soalan dan jawapan sang gembala kuda. Jadi, saya sediakan kertas jawapan ini untuk memudahkan proses penyemakan dan penggunaan kertas juga boleh dijimatkan kerana sehelai kertas a4 dapat memuatkan dua set kertas. Use the download button below or simple online reader. Contoh soalan matematik tahun 3, contoh soalan soal selidik, contoh soalan upsr 2019, contoh soalan sejarah kertas 3, contoh soalan upkk, co. Contoh untuk panduan buat soalan titas. Apakah yang dimaksudkan denagn moksha dalam purushartha (empat objektif mulia) menurut hinduisme?

Esaimen titas complete via www.slideshare.net. Sekolah kebangsaan selampit 94500 lundu sarawak kertas jawapan objektif nama pelajar mata pelajaran : Ajaran yang menekan kan amalan c. Contoh soalan dan jawapan keluk kemungkinan pengeluaran. Lembah indus ii perancangan iii pemilihan tapak jawapan.

58973304 Soalan Titas Doc Document
58973304 Soalan Titas Doc Document from reader012.docslide.net
Check pages 101 142 of soalan objektif,soalan struktur dan soalan esei beserta dengan jawapan in the flip pdf version. Soalan pengetahuan am boleh rujuk buku teks sejarah tahun 6 dan berita tentang isu semasa. Contoh soalan dan skema soalan subjek titas. Download soalan dan jawapan titas. Kerja kursus sejarah pt3 2018 contoh rujukan terbaik via mypt3.com. See more of psv spm / pendidikan seni visual : I) bah agian a hendaklah dijawab pada kertas jawapan objektif omr kertas soalan ini mengan dungi 7 halaman bercetak' hak cipta universiti teknologi mara s u l it. Related posts to soalan dan jawapan temuduga giatmara.

Sekolah kebangsaan selampit 94500 lundu sarawak kertas jawapan objektif nama pelajar mata pelajaran :

Soalan objektif 1 apakah kepentingan sistem ahli yang diperkenalkan di tanah melayu pada tahun 1951 ? Contoh soalan objektif pendidikan islam tingkatan 2 beriman, contoh soalan objektif pendidikan islam tingkatan 2 akhlak, contoh soalan objek. Contoh surat permohonan kerja lepasan diploma. Anda perlu yakin dengan jawapan anda dan dalam masa sama. Ajaran bible tentang tuhan, yesus, doa, keluarga, penderitaan, perayaan, kehidupan, kematian. A hayat penghidupan stabil yang panjang.b lahir dan berkembangnya. 8/12/2019 soalan obj titas 1. 100%(2)100% found this document useful (2 votes). Kerja kursus sejarah pt3 2018 contoh rujukan terbaik via mypt3.com. Pelajar dan guru dapat memanfaatkan penggunaan ict bagi memberikan impak kualiti yang baik dalam pembelajaran pada masa kini. Contoh soalan objektif pengurusan sumber manusia. Apakah yang dimaksudkan denagn moksha dalam purushartha (empat objektif mulia) menurut hinduisme? Soalan dan jawapan sang gembala kuda.

Contoh soalan matematik tahun 3, contoh soalan soal selidik, contoh soalan upsr 2019, contoh soalan sejarah kertas 3, contoh soalan upkk, co. Kerja kursus sejarah pt3 2018 contoh rujukan terbaik via mypt3.com. Sq, eq dan ssq : Jawapan yang tepat kepada soalan bible. Jawapan yang diberi hendaklah jujur dan tidak keterlaluan atau bersifat sombong.

Contoh Soalan Titas Objektif Merdeka Ff
Contoh Soalan Titas Objektif Merdeka Ff from lh4.googleusercontent.com
Soalan objektif hubungan etnik di malaysia. Contoh soalan titas dan jawapan oum. Soalan objektif,soalan struktur contoh soalan titas 1. See more of psv spm / pendidikan seni visual : Mpu 3113 hubungan etnik peperiksaan akhir semester bahagian soalan objektif (40 markah) arahan: Jawab sem ua soalan dari bahag ian a dan satu (1) soalan dari bahag ian b. Sekolah kebangsaan selampit 94500 lundu sarawak kertas jawapan objektif nama pelajar mata pelajaran : Contoh soalan objektif pengurusan sumber manusia.

Contoh soalan dan jawapan keluk kemungkinan pengeluaran.

Related posts to soalan dan jawapan temuduga giatmara. Conquer pendidikan seni tingkatan 2 flip ebook pages 1 33 anyflip anyflip from online.anyflip.com. Folio terbaik spm via www.scribd.com. Berikan jawapan yang betul bagi mendapatkan markah. Report soalan dan jawapan titas. Contoh soalan objektif pendidikan islam tingkatan 2 beriman, contoh soalan objektif pendidikan islam tingkatan 2 akhlak, contoh soalan objek. Soalan dan jawapan sang gembala kuda. Kerja kursus sejarah pt3 2018 contoh rujukan terbaik via mypt3.com. Kertas jawapan untuk soalan objektif 20 soalan ini saya susun selaras dengan perubahan format soalan 2016. Soalan titas, contoh soalan titas, soalan objektif titas, contoh soalan titas beserta jawapan, soalan tasawwur, tamadun islam dan tamadun asia (buku teks) oxford fajar via www.oxfordfajar.com.my. Contoh kertas jawapan objektif via www.scribd.com. 2 b c d jawapan anda. Please fill this form, we will try to respond as soon as possible.

Related : Soalan Objektif Titas Dan Jawapan / Pengenalan ilmu ketamadunanbab 1 bab 71..